Notes 11 Notes Maths Number Systems Exercise 1.1

Friday, August 16th 2019. | Notes



PDF Introduction to Dynamical Systems Lecture Notes
PDF Introduction to Dynamical Systems Lecture Notes Notes 11 Notes Maths Number Systems Exercise 1.1 765990
Answer
NCERT Solutions for Class 9th Ch 1 Number Systems Maths Study Rankers Notes 11 Notes Maths Number Systems Exercise 1.1 220173

Free Sample Example Format Templates Download word excel pdf notes of chemistry class 11 redox reactions notes of class 11 animal kingdom economics notes class 11 adamjee
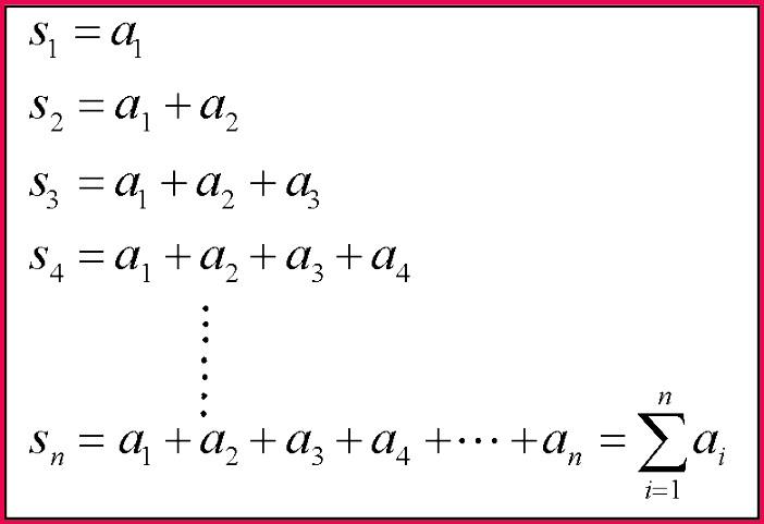
Series
Optional Mathematics for Grade 9 Notes 11 Notes Maths Number Systems Exercise 1.1 702481
IB Maths Stu s SL plete Notes
IB Maths Stu s SL Topic 1 Number & Algebra Notes by Notes 11 Notes Maths Number Systems Exercise 1.1 1120840
RAJASTHAN Board Class 8 Mathematics Chapter Notes line Self Paced Course by Avdhan
RAJASTHAN Board Class 8 Mathematics Chapter Notes line Self Paced Notes 11 Notes Maths Number Systems Exercise 1.1 558653
note 10 release date phone, note 10 details, note 10 leaked, note 10 review, note 10 2019, note 10 launch, note 10 power button, note 10 specs, note 10 telus, note 10 latest release,




tags: , , , , , ,