Class 12 Physics Notes atomic Spectra Numerical Problems

NCERT Solutions for Class 12 Maths Chapter 2 – Inverse Trigonometric Class 12 Physics Notes Atomic Spectra Numerical Problems 6842152

CBSE Class 12 Chemistry Notes Coordination pounds Class 12 Physics Notes Atomic Spectra Numerical Problems 329163
Free Sample Example Format Templates Download word excel pdf class 12 geography map work pdf class 12 maths syllabus class 12 flamingo

Chapter 4 Inverse Trigonometric Functions RD Sharma Solutions for Class 12 Physics Notes Atomic Spectra Numerical Problems 322213

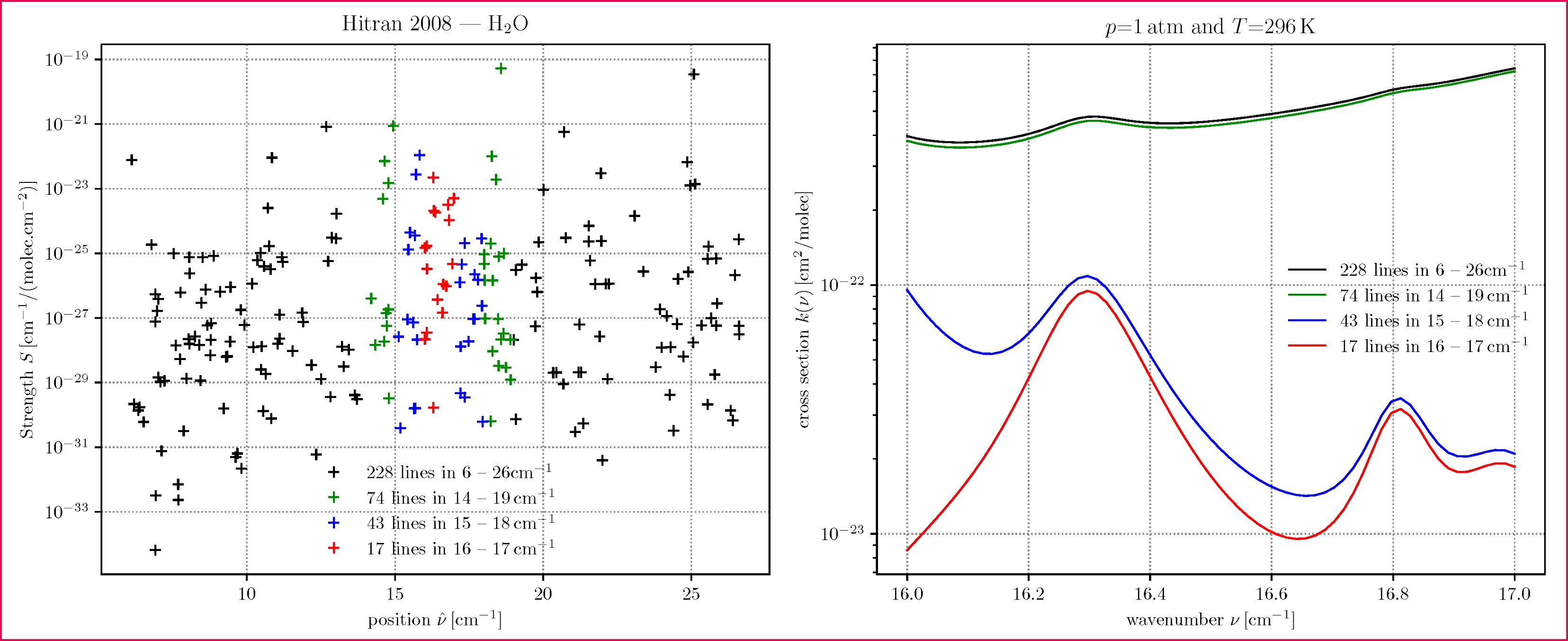
Atmosphere Free Full Text Class 12 Physics Notes Atomic Spectra Numerical Problems 33111353

Important Questions for CBSE Class 12 Physics Chapter 13 Nuclei Class 12 Physics Notes Atomic Spectra Numerical Problems 446631
class 12 physics chapter atoms nuclei, class 2 beacon light, class 12 physics solved paper, class 1 zone 2 j type need seals, class 2 wiring, class 12 or 50, class 2 drivers, class 12 software cra, class 12 amortization, class 10 equipment,