Class 11 Notes Physics Vectors and Equilibrium Notes

9th physics chapter 4 notescx Force Class 11 Notes Physics Vectors And Equilibrium Notes 134178

Ultrafast disordering of vanadium dimers in photoexcited VO2 Class 11 Notes Physics Vectors And Equilibrium Notes 1152880
Free Sample Example Format Templates Download word excel pdf class 11 chemistry ncert solutions class 11 final exam routine 2018 class 11 a photograph line by line explanation

Calculus II Dot Product Class 11 Notes Physics Vectors And Equilibrium Notes 207211

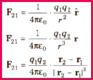
CBSE Class 12 Physics Notes Electrostatics Class 11 Notes Physics Vectors And Equilibrium Notes 186159

First law of thermodynamics Class 11 Notes Physics Vectors And Equilibrium Notes 1080476
class 11 pesticide ontario, class 1 questions to ask driving school, class 1 bc driver s license, class 1 gloves, class 1 vs class 3, class 1 kelowna, class 10 uhs, class 1 ball, class 1 training alberta, class 11 maths,